Soluções Completas em Automação Industrial
Conteúdos e materiais
O uso de Controladores de Demanda nas instalações atendidas por contratos de fornecimento de energia elétrica pela concessionária é uma forma de garantir que o sistema não ultrapasse os limites contratuais, resultando na aplicação de multas. Os pequenos consumidores são cobrados apenas pela energia utilizada (consumo). Já os médios e grandes consumidores pagam tanto pela energia quanto pela potência disponibilizada.
A potência aparece nas contas desses consumidores com o nome de demanda que, na verdade, corresponde à potência média verificada em intervalos de 15 minutos. A Agência Nacional de Energia Elétrica (ANEEL) é quem regulamenta e estabelece estes parâmetros nas contas de energia elétrica.
Mas você sabe o que é um Controlador de Demanda e por que utilizar esse equipamento pode ajudar sua empresa ou indústria a ter mais eficiência energética?1
ST8500C Controlador de demandaUm Controlador de Demanda tem como intuito gerir de forma automática a entrada e saída de cargas na rede elétrica, a fim de impedir a ultrapassagem de consumo da demanda contratada, evitando o pagamento de multas pelo excesso de demanda.
O funcionamento de um Controlador de Demanda de Energia Elétrica é muito fácil. O usuário cadastra o valor da potência que contratou com a concessionária e o valor de cada carga que deve ser gerenciada, isto é, que seja ligada e desligada conforme a necessidade. A partir desse momento, o equipamento verifica de tempos em tempos a potência consumida no barramento. Assim, ele vai ligar e desligar as cargas que estão cadastradas para que essa potência consumida no barramento fique sempre abaixo da medida contratada pela concessionária.
A conexão de cargas é gerenciada por reta de carga ou por horário, e a programação de demanda pode ser definida mês a mês. Com o ST8500C da Alfacomp, por exemplo, você pode emitir via software relatórios do controle de demanda. Além disso, a memória de registro deste equipamento é de 60 dias e a programação pode ser realizada via painel, supervisório ou APP.
Fazer o controle de demanda é indicado pois, permite além do gerenciamento das cargas por demanda, o gerenciamento das cargas por horário. Isso proporciona, por exemplo, que um grupo gerador seja acionado no horário de ponta, conectando a uma saída programada por horário.
Um controlador de demanda pode ser útil também em instalações fotovoltaicas para evitar a injeção de potência excedente na rede da concessionária. O software supervisório da Alfacomp garante um histórico da instalação, dando ao gestor uma ferramenta de análise de seu uso e consumo de energia elétrica.
A conta de energia elétrica de consumidores de médio e grande porte é composta da soma de parcelas referentes ao consumo, demanda e ultrapassagem. A parcela de consumo é calculada multiplicando o consumo medido pela tarifa de consumo. Já a parcela de demanda é calculada multiplicando-se a tarifa de demanda pela demanda contratada ou pela demanda medida (a maior delas).
Os Controladores ST8500C possuem características específicas para proteger as máquinas e equipamentos. Entre essas está o tempo de repouso, que é o tempo programado para evitar que uma carga seja religada logo após seu desligamento – o que pode danificar a máquina e diminuir a vida útil das contactoras (que conectam as cargas à rede elétrica). Os Controladores também permitem programar o acionamento e desligamento das cargas com lógica inversa, isto é, desligando a saída do Controlador para cargas ativas, evitando paradas por pane do controle.
A utilização de controles de demanda não fica restrita a evitar a multa por descumprimento do contrato. Também é interessante como uma forma de limitar o consumo e consequentemente contingenciar custo de energia elétrica. Por isso é um equipamento para implementar a operação industrial com eficiência energética.
O uso destes equipamentos de controle de demanda podem levar aos consumidores os benefícios do gerenciamento de energia, reduzindo perdas e, em muitos casos, permitindo a diminuição no valor da fatura de energia. Pelo ponto de vista do fornecimento, a existência de um Controle de Demanda nas unidades consumidoras permite um melhor planejamento e maior aproveitamento do sistema de distribuição, minimizando investimentos e aumentando a eficiência energética do setor.
Seguem conceitos e definições envolvidos na sistemática de tarifação:
Potência: é a capacidade de consumo de um equipamento elétrico, expressa em Watts (W) ou quilowatts (kW).
Energia: é a quantidade de eletricidade utilizada por um aparelho elétrico ao ficar ligado por um determinado tempo. Tem como unidades mais usuais o quilowatt-hora (kWh) ou megawatt-hora (Mwh).
A tarifa de energia elétrica é a composição de valores calculados que representam cada parcela dos investimentos e operações técnicas realizadas pelos agentes da cadeia de produção e da estrutura necessária para que a energia possa ser utilizada pelo consumidor. A tarifa representa, portanto, a soma de todos os componentes do processo industrial de geração, transporte (transmissão e distribuição) e comercialização de energia elétrica. São acrescidos ainda os encargos direcionados ao custeio da aplicação de políticas públicas. Os impostos e encargos estão relacionados na conta de luz.
As empresas concessionárias fornecem energia elétrica a seus consumidores, com base em obrigações e direitos estabelecidos em um contrato de concessão, celebrado com a União, para a exploração do serviço público de distribuição de energia elétrica em sua área de concessão. No momento da assinatura do contrato, a empresa concessionária reconhece que o nível tarifário vigente, ou seja, as tarifas definidas na estrutura tarifária da empresa, em conjunto com os mecanismos de reajuste e revisão das tarifas estabelecidas nesse contrato, são suficientes para a manutenção do seu equilíbrio econômico-financeiro (ANEEL, 2019).
Métodos de tarifação se referem à forma que os consumidores são classificados para a cobrança do seu consumo de energia elétrica. Para o mesmo, deve-se observar a estrutura tarifária e grupos de consumidores (PROCEL, 2011).
A estrutura tarifária é um conjunto de tarifas (lista de preços) aplicáveis às componentes de consumo de energia elétrica e/ou demanda de potência, de acordo com a modalidade de fornecimento. Busca refletir as diferenças de custos relacionados ao fornecimento de energia a cada tipo de consumidor. A partir de então, define-se a relatividade dos preços. A estrutura compreende a diferenciação das tarifas, segundo os componentes de consumo e demanda, nível de tensão de fornecimento, classe de consumo, estação do ano, período do dia, localização do consumidor, etc. (BITU; BORN, 1993).
As tarifas de energia elétrica não têm um mesmo valor para todos os consumidores. Elas se diferenciam entre grupos tarifários, de acordo com a tensão de fornecimento, o momento do consumo, o tipo de tarifa e a classe do consumidor. As mesmas podem ser estruturadas e diferenciadas de muitas formas (VIEIRA, 2016).
Teoricamente, poderia ser definida uma tarifa para cada consumidor, porém, dificuldades de diversas naturezas como, por exemplo, as restrições de comercialização, sistema de medição e cobrança, limitam o grau de aprimoramento da estrutura tarifária.
O consumidor paga um preço final que inclui, além das tarifas, as taxas ou encargos, as contribuições e os impostos que são tributos, ou seja, pagamentos obrigatórios que não representam uma punição por ato ilícito e que devem ser previstos em lei (FUGIMOTO, 2010).
As taxas ou encargos independem da quantidade consumida de energia e estão relacionadas com as despesas de atendimento as unidades de consumo. Estão relacionadas aos custos associados ao atendimento dos consumidores, diretamente às unidades de consumo.
Existem taxas especiais como aquelas relacionadas com o consumo adicional de combustíveis nas usinas térmicas. As taxas permitem repassar rapidamente ao consumidor aumento imprevistos nos custos. O preço final de fornecimento pago pelo cliente é a composição da tarifa, contribuições, taxas, com impostos como o ICMS (FUGIMOTO, 2010).
Para fins de faturamento, as unidades consumidoras são agrupadas em dois grupos tarifários, definidos, principalmente, em função da tensão de fornecimento e também, como consequência, em função da demanda. Se a concessionária fornece energia em tensão inferior a 2300 Volts, o consumidor é classificado como sendo do “Grupo B” (baixa tensão); se a tensão de fornecimento for maior ou igual a 2300 Volts, será o consumidor do “Grupo A” (alta tensão). Estes grupos foram assim definidos:
Grupamento composto de unidades consumidoras com fornecimento em tensão igual ou superior a 2,3 kV, ou, ainda, atendidas em tensão inferior a 2,3 kV a partir de sistema subterrâneo de distribuição e faturadas neste Grupo, em caráter opcional, nos termos definidos na Resolução ANEEL n 456, caracterizado pela estruturação tarifária binômia e subdividido nos subgrupos A1, A2, A3, A3a, A4 e AS. A tabela abaixo apresenta estes subgrupos.
Os consumidores deste grupo são cobrados tanto pela demanda quanto pela energia que consomem. Esses consumidores podem enquadrar-se em uma das duas alternativas tarifárias:
• Tarifação convencional;
• Tarifação horo-sazonal.
O enquadramento na tarifa convencional exige um contrato específico com a concessionária no qual se pactua um único valor da demanda pretendida pelo consumidor (demanda contratada), independentemente da hora do dia (ponta ou fora de ponta) ou período do ano (seco ou úmido).
Os consumidores do Grupo A, subgrupos A3a, A4 ou AS, podem ser enquadrados na tarifa convencional quando a demanda contratada for inferior a 300 kW, desde que não tenham ocorrido, nos 11 meses anteriores, 3 (três) registros consecutivos ou 6 (seis) registros alternados de demanda superior a 300 kW.
A conta de energia elétrica desses consumidores é composta da soma de parcelas referentes ao consumo, demanda e ultrapassagem. A parcela de consumo é calculada multiplicando-se o consumo medido pela tarifa de consumo.
A parcela de demanda é calculada multiplicando-se a tarifa de demanda pela demanda contratada ou pela demanda medida (a maior delas), caso esta não ultrapasse em 10% a demanda contratada.
A parcela de ultrapassagem é cobrada apenas quando a demanda medida ultrapassa em mais de 10% a demanda contratada. É calculada multiplicando-se a tarifa de ultrapassagem pelo valor da demanda medida que supera a demanda contratada (BRASIL, 2000).
Essa modalidade é caracterizada pela aplicação de tarifas diferenciadas de consumo de energia elétrica e demanda de potência de acordo com as horas de utilização do dia e dos períodos do ano.
A estrutura de tarifação horo-sazonal pode ser aplicada, segundo os seguintes modelos de tarifação:
a) Tarifa Verde
O enquadramento na tarifa Verde dos consumidores do Grupo A. Essa modalidade tarifária exige um contrato específico com a concessionária no qual se pactua a demanda pretendida pelo consumidor (demanda contratada), independentemente da hora do dia (ponta ou fora de ponta). Embora não seja explícita, a Resolução 414 de 2010 da Aneel permite que sejam contratados dois valores diferentes de demanda, um para o período seco e outro para o período úmido (BRASIL, 2010). A conta de energia elétrica desses consumidores é composta da soma de parcelas referentes ao consumo (na ponta e fora dela), demanda e ultrapassagem.
A parcela de demanda é calculada multiplicando-se a tarifa de demanda pela demanda contratada ou pela demanda medida (a maior delas), caso esta não ultrapasse em mais de 10% a demanda contratada. A tarifa de demanda é única, independente da hora do dia ou período do ano.
A parcela de ultrapassagem é cobrada apenas quando a demanda medida ultrapassa em mais de 10% a demanda contratada. É calculada multiplicando-se a tarifa de ultrapassagem pelo valor da demanda medida que supera a demanda contratada.
b) Tarifa Horo-sazonal Azul
O enquadramento dos consumidores do Grupo A na tarifação horosazonal azul é obrigatório para os consumidores dos subgrupos A1, A2 ou A3. Essa modalidade tarifária exige um contrato específico com a concessionária no qual se pactua tanto o valor da demanda pretendida pela consumidora no horário de ponta (demanda contratada na ponta) quanto o valor pretendido nas horas fora de ponta (demanda contratada fora de ponta).
Embora não seja explícita, assim como na tarifa verde, a resolução 414 permite que sejam contratados valores diferentes para o período seco e para o período úmido (BRASIL, 2010).
A fatura de energia elétrica desses consumidores é composta pela soma de parcelas referentes ao consumo e demanda e, caso exista, ultrapassagem. Em todas as parcelas observa-se a diferenciação entre horas de ponta e horas fora de ponta (CENTRAIS ELÉTRICAS BRASILEIRAS, 2011).
A parcela de demanda é calculada somando-se o produto da tarifa de demanda na ponta pela demanda contratada na ponta (ou pela demanda medida na ponta, de acordo com as tolerâncias de ultrapassagem) ao produto da tarifa de demanda fora da ponta pela demanda contratada fora de ponta (ou pela demanda medida fora de ponta, de acordo com as tolerâncias de ultrapassagem).
As tarifas de demanda não são diferenciadas por período do ano. A parcela de ultrapassagem é cobrada apenas quando a demanda medida ultrapassa a demanda contratada acima dos limites de tolerância de 5% para os sub-grupos A1, A2 e A3 e 10% para os demais sub-grupos. O valor desta parcela é obtido multiplicando-se a tarifa de ultrapassagem pelo valor da demanda medida que supera a demanda contratada (PROCEL, 2011).
As unidades consumidoras atendidas em tensão inferior a 2,3 kV, ou ainda unidades atendidas em tensão superior a 2,3 kV e faturadas neste grupo, são caracterizadas pela estruturação tarifária monômia (ANEEL, 2000).
Consumidor do grupo B é aquele que recebe energia elétrica na tensão entre 220 e 380 V e tem com a concessionária de energia um contrato de adesão. Contrato de adesão é um instrumento contratual, com cláusulas vinculadas às normas e regulamentos aprovados pela ANEEL, não podendo o conteúdo das mesmas ser modificado pela concessionária ou consumidor, a ser aceito ou rejeitado de forma integral (ANEEL, 2000).
Os consumidores do Grupo B (baixa tensão< 2.300 Volts) são classificados em:
B1 – residencial;
B2 – rural;
B3 – demais classes;
B4 – iluminação pública.
Os consumidores de baixa tensão (Grupo B) são classificados ainda de acordo com o número de fases. São três os tipos de fornecimento, conforme o número de fases:
Tipo A – monofásico – dois condutores (uma fase e o neutro);
Tipo B – bifásico – três condutores (duas fases e o neutro);
Tipo C – trifásico – quatro condutores (três fases e o neutro).
Para determinação destes, deverá ser calculada a carga instalada de cada unidade consumidora. Essa carga será o somatório das potências nominais de placa dos aparelhos elétricos e das potências de iluminação declaradas. Quando houver cargas de motores, deverão ser computadas as suas respectivas quantidades e potências individuais (PROCEL,2011).
Nos consumidores enquadrados no Grupo B, apenas o consumo de energia é faturado, não existindo cobrança relativa à demanda de potência (PROCEL, 2011).
O horário de ponta (P) é o período definido pela distribuidora e composto por 3 (três) horas diárias consecutivas, exceção feita aos sábados, domingos, terça-feira de carnaval, sexta-feira da Paixão, “Corpus Christi”, e oito dias de feriados conforme descrito na resolução ANEEL 414, considerando a curva de carga do seu sistema elétrico, aprovado pela ANEEL para toda a área de concessão. O horário fora de ponta (F) é o período composto pelo conjunto das horas diárias consecutivas e complementares àquelas definidas no horário de ponta (VIANA; BORTONI; NOGUEIRA, 2012).

Ainda segundo Viana, Bortoni e Nogueira (2012), estes horários são definidos pela concessionária em virtude, principalmente, da capacidade de fornecimento que a mesma apresenta. A curva de fornecimento de energia típica de uma concessionária pode ser vista através da figura abaixo, onde o maior valor de demanda ocorre geralmente no horário de ponta.
Estes períodos guardam, normalmente, uma relação direta com os períodos onde ocorrem as variações de cheias dos reservatórios de água utilizados para a geração de energia elétrica. O período Seco corresponde ao período de 07 (sete) ciclos de faturamento consecutivos iniciando-se em maio e finalizando-se em novembro de cada ano; é, geralmente, o período com pouca chuva. O período Úmido corresponde ao período de 05 (cinco) ciclos de faturamento consecutivos, compreendendo os fornecimentos abrangidos pelas leituras de dezembro de um ano a abril do ano seguinte; é, geralmente, o período com mais chuva (CARVALHO, 2011).
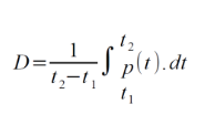
Conforme a Resolução 456 da ANEEL no Art. 2º, § VIII, demanda é a média das potências elétricas ativas ou reativas, solicitadas ao sistema elétrico pela parcela da carga instalada em operação na unidade consumidora, durante um intervalo de tempo especificado. Assim, esta potência média, expressa em quilowatts (kW) e quilovolt-ampère-reativo (kvar), respectivamente. Pode ser calculada, por exemplo, dividindo-se a energia elétrica absorvida pela carga em um certo intervalo de tempo Δt, por este intervalo de tempo Δt, podendo ser expressada pela equação abaixo.

No Brasil o intervalo de tempo (período de integração) é de 15 minutos, portanto, em um mês teremos: 30 dias x 24 horas / 15 minutos = 2880 intervalos (ANEEL, 2019).
Segundo Suppa e Terada (2010), temos os métodos de medição síncrona e assíncrona. O método de medição síncrona é aquele utilizado por todas as concessionárias brasileiras e pela maioria dos países, medindo a energia ativa num determinado intervalo de tempo que pode variar de 15 à 60 minutos na maioria dos casos.
Na prática, o que se faz é integrar os pulsos de energia dentro deste intervalo, por isso chamado de intervalo de integração, obtendo o que chamamos de demanda de energia ativa, ou seja, a demanda é a energia média consumida em cada intervalo de 15 minutos não existindo plenamente antes do fechamento do intervalo.
Geralmente a concessionária fatura pelos maiores valores registrados nos períodos de fora-ponta e ponta ou pelos valores contratados, os que forem maiores. A cada início do intervalo de integração o consumo é zerado dando início a uma nova contagem. Se ao final do intervalo o valor médio de fechamento for superior ao limite permitido o usuário arcará com pesadas multas por ultrapassagem.
Ainda conforme resolução são adotadas algumas definições entre a distribuidora e o consumidor por meio de contratado de prestação de serviço, sendo eles (ANEEL, 2019):
Demanda: média das potências elétricas ativas ou reativas, solicitadas ao sistema elétrico pela parcela da carga instalada em operação na unidade consumidora, durante um intervalo de tempo especificado.
Demanda contratada: demanda de potência ativa a ser obrigatória e continuamente disponibilizada pela concessionária, no ponto de entrega, conforme valor e período de vigência fixados no contrato de fornecimento e que deverá ser integralmente paga, seja ou não utilizada durante o período de faturamento, expressa em quilowatts (kW);
Demanda de ultrapassagem: parcela da demanda medida que excede o valor da demanda contratada, expressa em quilowatts (kW);
Demanda medida: maior demanda de potência ativa verificada por medição, integralizada no intervalo de 15 (quinze) minutos expressa em quilowatts (kW);
Demanda faturável: valor da demanda de potência ativa identificada de acordo com os critérios estabelecidos e considerados para fins de faturamento, com aplicação da respectiva tarifa, expressa em quilowatts (kW).
Para o faturamento do consumo, acumula-se o total de kWh consumidos durante o período: fora de ponta seca ou fora de ponta úmida, e ponta seca ou ponta úmida. Para cada um desses períodos, aplica-se uma tarifa de consumo diferenciada, e o total é a parcela de faturamento de consumo. Evidentemente, as tarifas de consumo nos períodos secos são mais elevadas que nos períodos úmidos, e no horário de ponta é mais cara que no horário fora de ponta (PROCEL, 2011).
A cobrança é sempre em função da demanda contratada e do consumo. Quando se contrata uma demanda, na verdade, se está solicitando que a empresa fornecedora disponibilize uma determinada quantidade de energia para ser consumida. Dessa maneira, poderão ocorrer três casos de cobrança (PROCEL, 2011):
Demanda registrada inferior à demanda contratada: aplica-se a tarifa de consumo e demanda correspondente ao valor contratado;
Demanda registrada superior à demanda contratada, mas dentro da tolerância de ultrapassagem: aplica-se a tarifa de consumo e de demanda correspondente à demanda
Demanda registrada superior à demanda contratada e acima da tolerância: aplica-se a tarifa consumo e de demanda correspondente à demanda contratada, e soma-se a isso a aplicação da tarifa de ultrapassagem, correspondente à diferença entre a demanda registrada e a demanda contratada. Ou seja, paga-se tarifa normal pelo contratado, e tarifa de ultrapassagem sobre todo o excedente.
De acordo a Aneel (2018), a demanda de energia é contratada junto à concessionária (paga-se por ela independente do uso). A monitoração da demanda é realizada pela média dos 15 minutos de integração. Sua medição é realizada com base na “média” dos 15 minutos de integração de demanda. A ultrapassagem de demanda elétrica é controlada com base nos valores médios da integração de 15 minutos, ou seja, a demanda média de 15 minutos não pode ultrapassar a demanda contratada. Caso ocorra a ultrapassagem, a concessionária cobrará a multa com base no maior valor registrado. De acordo com o tipo de consumidor, existe uma tolerância sobre o valor de demanda contratada para que não haja cobrança de multas, conforme definido na Resolução 456 de 29 de novembro de 2000, Art. 2°, § VIII:
5%, para as unidades cuja tensão de fornecimento seja maior ou igual a 69 kV (tarifa azul);
10%, para as unidades cuja tensão de fornecimento seja menor que 69 kV e no mês de faturamento, a demanda para fora de ponta (tarifa azul) e a demanda (tarifa verde), sejam superiores a 100 kW;
20%, para as unidades atendidas com tensão inferior a 69 kV, e no mês de faturamento, a demanda fora de ponta (tarifa azul) e demanda (tarifa verde) de 50 a 100 kW.
Segundo F.S Ozur (2011), O controlador de demanda é um equipamento eletrônico que tem como função principal manter a demanda de energia ativa de uma unidade consumidora, dentro de valores limites pré-determinados, atuando, se necessário, sobre alguns parte dos Controladores de Demanda controla também o fator de potência e o consumo de energia. Controlar a demanda é fundamental, não só para o consumidor diminuir seus custos com energia elétrica, mas também para a concessionária que necessita operar de forma bem dimensionada evitando interrupções ou má qualidade de fornecimento.
Os controladores de demanda ST8500C foram desenvolvidos pela Alfacomp para, através do monitoramento contínuo e do gerenciamento adequado de cargas, manterem a potência elétrica dentro de limites pré-estabelecidos.
A programação e operação dos equipamentos é bem simples, pois os mesmos são compatíveis com outras ferramentas importantes, como interfaces de medidores de energia padrão, segundo a norma ABNT NBR14522.
Além disso, o ST8500C mede e registra diversas grandezas elétricas (memória para 30 dias de registros), oferecendo ao usuário um exame completo do sistema de energia da sua instalação. Também é possível utilizar o equipamento em conjunto com o software ST-Conecta (software que acompanha o produto), que permite maximizar a análise e o gerenciamento dos dados.
Mais do que simples controladores de demanda de potência, os equipamentos ST8500C constituem poderosos sistemas de gerenciamento de energia elétrica.
Princípio de funcionamento
Os controladores ST8500C recebem informações contínuas da potência da carga por meio da interface serial de usuário, opto-acoplada, padronizada através da norma NBR14.522 (ABNT), disponível em medidores eletrônicos de potência. As informações, no modelo com TC´s, podem ser repassadas via conexão do barramento elétrico, com o uso de transformadores de corrente (TC X/5) e sinais de tensão. A demanda de energia elétrica da carga é calculada através de algoritmos matemáticos.
Conforme a necessidade, ou seja, sempre que a demanda projetada ficar acima do set-point, os controladores ST8500C desativam uma ou mais cargas, promovendo a sua correção. Da mesma forma, toda vez que a demanda projetada ficar abaixo do estipulado, o controlador ativa uma ou mais cargas.
Os controladores ST8500C possuem diversas características que objetivam proteger suas máquinas e equipamentos. Entre essas está o tempo de repouso, que é o tempo programado para evitar que uma carga seja religada logo após seu desligamento – o que pode danificar a máquina e diminuir a vida útil das contactoras (que conectam as cargas à rede elétrica). Os controladores também permitem programar o acionamento e desligamento das cargas com lógica inversa, isto é, desligando a saída do controlador para cargas ativas, evitando paradas por pane do controle.
Inspeção visual
Antes da instalação, proceda a uma cuidadosa inspeção visual para certificar-se de que o produto não apresenta danos causados pelo transporte.
Esquemas elétricos de ligações
Na sequência, as figuras mostram os esquemas de ligação dos controladores ST8500C.

2. Modelo com entrada opto-acoplada

Conexões de acionamento
No modelo com transformadores de corrente (TCs), a relação de transformação deve ser X/5A.
Cada acionamento da contactora deve ser protegido com um fusível individual.
A fiação que mede a tensão deve ser colocada em dutos separados do comando das contactoras com uma distância de, no mínimo, 10 cm.
A fiação também não deve passar nos dutos dos cabos de potência, onde circulará a corrente da carga.
Tome cuidado com a tensão de alimentação e a forma de ligação das contactoras. O fio comum das contactoras deve ser diferente do utilizado
na alimentação do controlador. Lembre que a tensão/corrente máxima de cada saída de acionamento é de 250VAC/5A.
A tensão máxima de alimentação do controlador, que serve para o equipamento trabalhar, é de 270VAC, enquanto a tensão de medição,
usada para cálculos para informação no mostrador, pode ir até 600VAC.
No modelo opto-acoplado é necessário aplicar tensão à entrada de medição para que sejam mostrados, no menu de medidas elétricas,
tanto o parâmetro de tensão como o de corrente. Do contrário, esses dois parâmetros serão zerados.
Atenção!
A alimentação de tensão do ST8500C pode ser de qualquer fonte, desde que se mantenha na faixa de 80 a 270 VCA.

OBS: A iluminação do display do ST8500C (backlight) só é acionada quando uma tecla é pressionada. Caso nenhuma tecla seja pressionada no período de 3 minutos, a iluminação desligará automaticamente.
LEDs indicadores
OK Equipamento ligado
ST Aceso, indica algum alarme ativo
RX Indica canal serial recebendo dados
TX Indica canal serial transmitindo dados
REFERÊNCIA
O que é um Controlador de Demanda e porque utilizar na indústria – https://sultech.com.br/2021/04/29/o-que-e-um-controlador-de-demanda-e-porque-utilizar-na-industria/
CONTROLE DE DEMANDA DE ENERGIA DE UM SISTEMA ELÉTRICO INDUSTRIAL – EZEQUIEL COSER – Lajeado, novembro de 2019
Agência Nacional de Energia Elétrica – ANEEL, “RESOLUÇÃO NORMATIVA ANEEL Nº 1.000, DE 7 DE DEZEMBRO DE 2021”. [Online]. Available: https://www.in.gov.br/en/web/dou/-/resolucao-normativa-aneel-n-1.000-de-7-de-dezembro-de-2021-368359651. [Acesso em 11 abr 2022].